Ceramic Lagging- A Good Thing Can Be Costly If Misused
Allen V. Reicks P.E. , Timothy Mess
Overland Conveyor Company, Inc., Lakewood, CO
ABSTRACT
Ceramic/Rubber composite lagging has gained many fans over the last few years by eliminating drive slip and providing a wear resistance pulley surface. However, like many good things, it has been misapplied in some cases and has contributed to costly problems. In order to ensure proper application, it is important to understand the mechanics of torque transmission between the belt and pulley and how adding ceramic tiles has changed the critical nature of lagging. What was once considered a sacrificial layer protecting the pulley and belt can be damaging to the most expensive component in the system.
DESCRIPTION
Ceramic lagging has many positive attributes. The reasons to apply ceramic lagging for driven or non driven pulleys are:
- Increase friction between the belt and drive pulley lagging in wet or variable conditions
- Eliminate bodily slip between the belt and drive pulley
- Eliminate lagging wear for driven or non driven pulleys
However, the mechanical penetration of the ceramic lagging into the belt rubber significantly increases the friction force between the pulley and the belt. The increase friction in the system causes an increase in the shear forces within the belt and lagging. The increased shear forces can be detrimental and manifest in several ways:
- The ceramic tiles in the lagging delaminate from the rubber backing
- The rubber backing delaminates from the drive pulley
- The belt bottom cover wears at an accelerated rate
Improved adhesives, have allowed the lagging manufacturers to address delaminating problems. This article will develop a model to identify designs that adversely affect belt wear, and it will suggest possible remedies.
ANALYSIS
Pulley torque is transferred to the conveyor belt as circumferential shear force between it and the belt. The classic equation states that the maximum permissible torque and therefore tension transfer is related to the slack side tension, the wrap and the limiting friction factor between the pulley surface and the belt surface. This paper will show that, however effective, this equation is fundamentally in error. We will provide an alternate calculation that incorporates the belt and lagging stiffness to predict a maximum allowable tension transmission.
The tension in a conveyor belt decreases as the belt travels around the drive pulley, causing the belt to contract. In order to prevent slip, the lagging must deform circumferentially to match the belt contraction. The belt traction force causes this lagging deformation but, if beyond the limit friction, will allow slip. As the belt contracts it may slip on the pulley if the local friction between the lagging and the belt is not sufficient. The maximum possible friction force between ceramic lagging and belt rubber is significantly higher than the friction force between rubber lagging and belt rubber due to mechanical penetration. Unlike rubber to rubber slip, the mechanical locking of sharp ceramic bumps embedded into rubber can cause tearing that leads to significant belt wear if improperly applied. Preventing this is the goal of this paper and the compliance model presented.
This analysis numerically calculates the belt contraction and required lagging deformation and the associated tension distribution assuming a no slip condition exists. Then, the required coefficient of friction between the belt and lagging are calculated based on the tension gradient and the local tension.The required coefficient of friction and the actual coefficient of friction between the belt and lagging are compared to determine if local belt slip is likely and design changes made if necessary to prevent slip. It should be noted that the calculation that follows is valid for rubber and for ceramic on rubber laggings.
Required Information
Standard information about the geometry of the belt, pulley, and lagging are required to perform this analysis. In addition the mechanical properties of the lagging and belt must be known. The required information includes:
- Pulley Diameter (in)
- Wrap Angle (radians)
- Belt Width (in)
- Belt Modulus (PIW)
- Belt Cover Thickness (in)
- Belt Cover Rubber Shear Modulus(psi)
- Lagging Rubber Thickness (in)
- Lagging Shear Modulus (psi)
- Coefficient of Friction between the belt and lagging
- T2 (PIW)
- T1 (PIW)
The mechanical properties of the belt and lagging may not be known exactly. Reasonable estimates of these properties can be used. The belt modulus is provided by the belt manufacturer. The shear modulus of the lagging is dependant upon many factors including the rubber used for construction, the type of ceramic if present, and the geometry of the grooving, if present. An estimate for the effective shear modulus of the grooved and composite (i.e. ceramic embedded) lagging can be calculated using a commercial finite element analysis program. For this analysis the belt modulus and lagging shear modulus are assumed to be constant and linear.
Just as is done in the classic limit friction calculation, the tension is assumed to be uniform across the belt width. In addition, local rubber deformations at the nip points of the belt and pulley contact are neglected.
Classic Euler Equation
Figure 2 shows the basic geometry of a drive pulley and belt system.
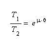
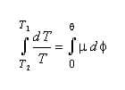
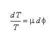
The change in tension as a belt travels around a pulley as universally used in the conveyor art is given by equation 1.
This equation is commonly called the Euler equation in deference to it’s originator in the 18th century. It is seen that this equation results from the assumption of a uniform friction coefficient between the pulley and belt as redeveloped more recently multiple authors between now and then using basic calculus including Meticlovic (1996);
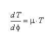
T is the belt tension and μ is the coefficient of friction. Equation 2 is a separable, first order, linear differential equation. First, separate the variables.
Integrate equation 3.
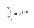
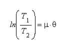
T1 and T2 are belt tensions, μ is the coefficient of friction, and θ is the wrap angle. Complete the definite integrals.
Simplify the logarithm of the left hand, to obtain equation 1.
The error in believing that this equation prevents slip can also be seen if we consider a small length of lagging immediately after the belt makes contact with it. Euler’s equation would indicate that the tension transferred at this point is the highest at any point on the circumference due to the presence of T1 tensions. Instead, recognizing that a corresponding force must exist at the lagging surface, this force would cause circumferential lagging deflection which cannot exist since the lagging just entered the belt zone. We must observe that this condition can only exist if the pulley is slipping bodily so that the assumed lagging deformation is created immediately when the lagging enters under the belt.
Experience tells us that continuous slip causes wear and most successful installations show little rubber wear. The successful history with the Euler equation can be explained by observing that the design value used for μ (0.35 for rubber lagging, .5 for ceramic lagging) CEMA (2005) is much lower than actual value measured by direct testing (0.6 to >1).
Therefore, we can conclude that the desired contact mechanics between the belt and lagging is one of compliant deformations and that a deformation model will provide a more accurate design predication. The following lagging and belt deformation phenomenon is described by many authors, and it has been confirmed by measurements in the field by Zeddies (1987).
Improved Method
The following development simplifies the actual physical situation by ignoring the time dependant properties of rubber and any belt width variations as well as the added nip point and belt bending deformations that naturally develop. This is justified as an improved solution with practical and available inputs.
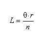
To incorporate the known tension boundary conditions and the belt and lagging stiffness in the proposed method, a model is developed as follows. The belt in contact with the lagging then must be broken into uniform sections so the force balance can be calculated numerically. Figure 3 shows a diagram of 1 belt section.
Where L is the segment length, theta (θ) is the wrap angle, r is the pulley radius, and n is the number of segments. A greater number of belt sections will yield a more accurate result. However a compromise must be made between accuracy and computation time. The authors recommend starting with an initial segment length of 1 in. to 2 in.
Before the full model can be developed, the belt linear spring constant, and the lagging shear linear spring constant are derived.
Derive the Belt Spring Constant
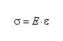
Begin with Hooke’s Law (7), the definition of axial stress (8), and the definition of Strain (9).
σ is axial stress, E is Young’s modulus of the material, and ε is strain.
P is the axial force and A is the cross sectional area.
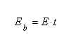
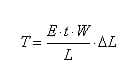
L is the original length of the material, ΔL is the change in length. The cross section of the belt is defined by equation 10.
W is the belt width and t is the belt thickness.
T is the belt tension. Substitute the appropriate variable into Hooke’s Law (7) using equations 8, 9, and 10.
The belt modulus can be expressed as:
Solve for belt tension.
Substitute 13 in equation 14.
The belt stiffness coefficient is now defined by:
The tension in the belt can now be modeled as a linear spring.
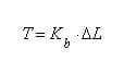
Derive The Lagging Spring Constant.
Begin with Hooke’s Law, the definition of shear stress.
Shear strain can be calculated using equation 20.
t is the lagging thickness. The belt tension is the shear force.
The cross sectional area in the shear is calculated.
W is the belt width and L is the length of lagging in shear. Substitute the appropriate variable from 19, 20, and 21 into equation 18.
Solve for Belt tension.
The lagging shear constant is defined.
Lagging shear force (FL) can be calculated using the lagging spring constant and the change in belt length.
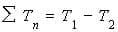
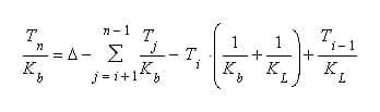
In the following, T is the local tension as it varies around the circumference. The variation from one element i to the next, i+1, is ΔTi so that
Solution
The pulley is at the same speed as the belt at the nip point and remains constant around the circumference due to the high rim stiffness. Since the belt shortens as the tension lessens, it is slower and shorter than the pulley contact arc where it leaves the belt. We can therefore develop independent path length equations referenced to each model element in terms of the belt and lagging stiffness and belt tension and lagging shear forces, all defined above. Using a matrix solution to simultaneously solve these equations, we arrive at the tension in the belt and lagging segments.
Where n is the total number of belt sections, Ti is the tension in each belt section i, FL is the lagging shear force, Δb is the change in belt section length, ΔL is the lagging deformation, and Δ is the total deformation.
A relation for the belt tension at any point (i) can now be developed.
The lagging shear force is that required to be transferred by friction at the pulley to belt interface.
The belt tension divided by the pulley radius or T/r defines the normal pressure available to develop the friction force in combination with a Coulomb friction factor. The normal force on each element is the pressure times the area r·dθ so that r cancels out. Therefore, in order to prevent slip we can define a required friction factor μmin to be compared to the available friction factor μ so that
It is important to consider that μ in Coulomb friction represents an upper limit. Friction is bounded by the force it is reacting to or the standard equation for Coulomb friction (32). N is the normal force.
ENGINEERING EXAMPLE
The following is an example of a conveyor that Overland Conveyor Company was hired to analyze.
History of the conveyor includes:
- The original Belt was steel cord construction and the original lagging was all rubber.
- The drive pulley had a history of slip problems, and 5/8 in ceramic lagging (3/8 in rubber backing) was added to correct the slip problem.
- The addition of the ceramic lagging corrected the slip problem for the steel cord belt.
- The steel cord belt was ripped by a something unrelated to the lagging or drive pulley.
- The steel cord belt was replaced with an 1800 PIW fabric belt.
- The first fabric belt lasted only 11 months, before the bottom cover wore off.
- The fabric belt was replaced with another 1800 PIW belt of the same construction.
- Ninety day after replacement, 1/8 in of the bottom cover wore off.
- The wear pattern of the bottom cover directly matched the ceramic tile pattern of the lagging on the drive pulley.
- It was estimated that the belt would not last another 6 months when a steel cord belt was scheduled to be installed.
- The 5/8 in ceramic lagging was changed to 1 in ceramic lagging (3/4 in rubber backing).
- The second fabric belt lasted until it was replaced with a new steel cord belt.
Design Parameters
The following table shows the geometry, and mechanical properties of the belt and drive pulley.
Table 1. Design Parameters
| PARAMETER | VALUE |
|---|---|
| Pulley Diameter (in) | 54 |
| Belt Width (in) | 54 |
| Bottom Cover Thickness (in) | 0.125 |
| Steel Cord Belt Modulus (PIW) | 684000 |
| Fabric Belt Modulus (PIW) | 125064 |
| Wrap Angle (degrees) | 210 |
| Lagging Shear Modulus (psi) | 245 |
| Original Ceramic Lagging Rubber Thickness (in) | 0.375 |
| Modified Lagging Rubber Thickness (in) | 0.75 |
Each condition is analyzed using the method outlined in this paper. The conditions are:
- Steel cord Belt with the original ceramic lagging
- Fabric belt with the original ceramic lagging
- Fabric belt with the modified ceramic lagging
The belt in contact with the drive pulley is broken up into 50 sections, to insure the best accuracy and reasonable computer processing time. The mathematical model can be performed using an off the shelf mathematics program or a spreadsheet.
Below is a graph showing the required friction factor for a no slip condition between the belt and the lagging over the length of belt in contact with the drive pulley.
Figure 5 shows the original steel cord belt would have localized slip with 3/8 in rubber lagging. This behavior is confirmed by the slip problem with the rubber lagging. Figure two also shows that the steel cord belt would not have localized slip with the original ceramic lagging.
The steel cord belt is significantly stiffer, greater belt modulus, than the fabric belt. The stiffer steel cord belt did not contract as much as the fabric belt. The stiffness of the original ceramic lagging did not prevent the belt from contracting without slipping. Figure 5 also illustrates that the fabric belt would require a friction coefficient significantly greater than the ceramic limit for a no slip condition. When additional rubber backing is applied the lagging become less stiff and allows the belt to contract with less slipping. The modified lagging does not completely eliminate localized slip, however it does decrease the amount of slip an increased the life of the belt.
LAGGING DESIGN – FRICTION, SLIP AND WEAR
In general, conveyor inputs to this analysis of tension, belt and pulley are difficult or expensive to change. Though lagging changes are not trivial they can be considered as parts of a pulley contact system and sourced as a particular lagging product. At least three elements of a lagging product are important.
Stiffness
The lagging stiffness is shown in the above model to be an important element of the lagging to belt contact system. It is governed by the smallest volume of material in the system. Therefore the lowest cost and best value is obtained by minimizing the slip potential through optimizing its design. It should be noted that balancing or matching the belt modulus will provide the most uniform friction and best margin of design safety.
Rubber Thickness
The total rubber thickness deformed in shear should be considered as the rubber thickness between the pulley steel and the belt carcass. This includes the belt cover plus the rubber in the lagging but not the thickness of any inserts such as ceramic blocks or beads. Clearly, thicker rubber provides a softer more compliant layer.
Geometry
The primary geometry input is the thickness but the effective thickness can be thought of incorporating grooves, inserts or other discontinuities. The most practical method is to load a FEA model of the lagging and belt cover with shear forces and solve for the deflection. The design modulus and thickness can be developed to match this composite deflection. If a ceramic layer is not continuous, this method is recommended to incorporate the correct lagging compliance.
Rubber Modules
Rubber modulus is often described as a hardness or durometer though this is not a value that can be used directly above. Estimate correlations are available. It is clear that a low hardness corresponds to a lower modulus. If the lagging and belt cover rubbers have different stiffness, their thicknesses should be weighted appropriately. It should be acknowledged that speed of deformation will affect the rubber modulus or stiffness. This can be determined and solved iteratively if the rubber Master Curve information is available to obtain the complex modulus.
Friction
As inferred above, friction between lagging and the belt cover can be thought of as preventing global or local slip. Global or full body slip can be thought of as dynamic friction generating visible slip, heat and dramatic wear. In addition to the reduced friction because of movement, design values to prevent slip have additional safety allowances because of the indeterminate possibility of local slip. Local slip is an invisible phenomenon where heat is easily dissipated and a lower rate of wear results due to lower relative movements. The friction required to prevent slip can be established through test because it is a function of the surfaces and pressure separate from the other system variable that identify the potential for slip. Unfortunately, local friction has not been used often for conveyor design so this test results are not well established except in a reverse engineering sense. The following is based on theoretical and actual experience because these test results are not publicly available.
Rubber friction is described by various authors including Roberts (1992) as a combination of the work dissipated from sliding of contact forces including adhesion, internal viscous losses, internal deformations, and the cutting and tearing associated with wear. The net effect is that friction factor is not a constant, as with many solids, but varies somewhat with pressure, sliding velocity, rubber strength, and the mating surface material.
Rubber to rubber friction is known to increase with contact pressure at a reducing rate; therefore the friction factor actually decreases with higher contact pressures. The effect of water and other fugitive materials is well known to reduce friction due to a lubrication effect. Designs that penetrate or relieve this lubrication improve the traction between the surfaces. Environmental and aging effects can also be expected.
In the case of rigid materials such as ceramic on rubber, a wide range of properties can also be expected with primary influence of the ceramic surface profile. Lower friction with pure sliding and less wear is expected with smooth hard materials especially when dirty or wet. A major use of ceramic lagging takes advantage of a rough hard surface to indent the belt cover rubber as well as penetrate contaminant. Sliding between the lagging and belt requires significant deformation and energy loss which is seen as higher circumferential friction regardless of moisture.
Wear and Abrasion Potential
When rubber slides on another surface, dynamic deformations, often with stick slip cycling, are created which dissipate energy because of the viscoelasticity of the rubber. With high speed and highly loaded sliding, these deformations are large enough to overcome the material strength and cause loss of material through abrasion. If the interface material is very rough, hard and sharp, the deformations are more severe, commensurate with the higher friction effect. Indeed, the friction may be limited only by the rubber or bond strength so that the price is heavy wear if the friction force is overcome, even locally. The bond between rubber and ceramic blocks, in particular has proven a design challenge.
The lower friction and rubber deformation of smooth ceramic will not create the high friction and severe surface deformation as does the rough or dimpled style. Belt cover abrasion is less, especially in the presence of a lubricant. This can be a good solution and is recommended for pulleys that do not rely on friction such as for drive, braking or tracking purposes. Hard laggings with intermediate roughness can be expected to have an intermediate effect on friction and wear.
CONCLUSION
Ceramic lagging should be applied carefully to avoid prematurely wearing the most expensive component of a conveyor, the belt. Ceramic lagging can provide a virtually wear free surface and increased friction between the drive pulley and belt. As described here, the stiffness of the ceramic lagging can also contribute to localized slip (slip only in a portion of the contact surface) even though conventional design equations appear to be satisfactory. This slip is not severe enough to cause complete bodily slip and prevent drive torque from being transferred to the belt. However, slip on a short arc length causes excessive belt cover wear, even though comparable slip with rubber lagging would cause only slow abrasion of the lagging. When applying ceramic lagging, care should taken to ensure that there is appropriate rubber backing to allow the belt to contract as it travels around the drive pulley without slipping.
Lagging has been employed historically as a sacrificial layer. If local or global slip occurs, the lagging wear shares the relative movement and protects the belt from wear. Ceramic lagging is virtually free from wear and because of another major benefit, the mechanical interlocking which overcomes wet and slippery environments, it can be quite aggressive and damaging when slip does occur. Initially, ceramic lagging may appear useful in reducing costly maintenance; but if it is misapplied, it may cause more expense than it avoided.
REFERENCES
Conveyor Equipment Manufacturers Association. 2005. Belt Conveyors of Bulk Materials. Sixth Edition. Naples, FL: Conveyor Equipment Manufacturers Association
Metlikovic, Peter M. 1996. Mechanics of Rubber Covered Conveyor Rollers. Ph.D. dissertation: The University of Akron
Roberts, A.D. 1992. A Guide to Estimating the Friction of Rubber. Rubber Chemistry and Technology vol. 65
Zeddies, Hubertus. 1987. Untersuchung der Beanspruchung von Trommelbelagen mit dem Ziel der Belagsoptimierung. Braunkohle 39.
Large Gold Mine in Australia – increased service life of pulleys with Elastotec/PROK HVCL
One of the largest gold mines in Australia, located in southeast of Perth, produces around 750,000 o
T&T Perú 2023
Thank you to the Peruvian mining sector. Thank you for the space to discuss your challenges. Thank y
Prevention of blisters in steam heated autoclaves
This technical bulletin will outline the causes of blister formation and will detail a series of sim










































